
I'm a postdoc fellow at the University of Manitoba. I work with Prof. Andreas Shalchi on energetic particle transport in different astrophysical environments. Our main focus is to study magnetic turbulence in the interstellar and interplanetary medium and there influence on particle diffusion. My recent publications focused on modelling magnetic turbulence in the solar wind, where we were able to reproduce Galactic cosmic ray mean free path measurements.
Dr. Martin Heusen
MY LATEST RESEARCH

We were able to model magnetic turbulence in a number of space environments, including the interstellar medium, solar wind, solar corona, and simple fusion devices. The figure above refer to isotropic turbulence model which have some applications in ISM heating and MHD. In a recent paper, Hussein et al. 2015, we studied the influence of all these models on transport parameters of energetic particles to find that they only have a minor effect. Click below to download the paper or have a look at the poster.
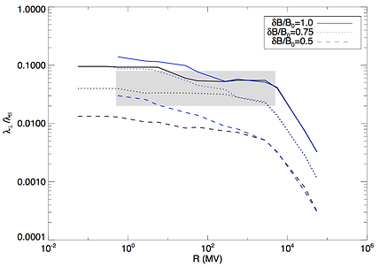
In a recent paper, Heusen and Shalchi 2016, we were able to reproduce observational data for the interaction between galactic cosmic rays and the solar wind. You can download the paper by pressing on the "Publication" button below or have a look at a poster prepared for the international cosmic ray conference (ICRC2015) by pressing on the "Poster" button.
